Metode CROUT
Untuk L = matriks segitiga atas, sedangkan U = segitiga bawah.
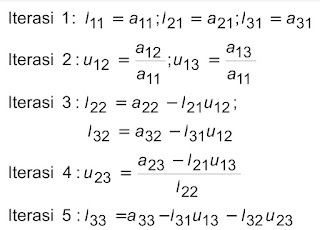
Rumus umum untuk mencari L dan U dengan Metode Crout :
Dengan ordo 3x3 :
Rumus perhitungannya :
Saya akan memberi contoh soal yang berordo 3x3 dan 4x4
1. Matriks ordo 3x3

2. Matriks ordo 4x4

Metode Doolittle
Suatu persamaan linear dapat diselesaikan secara langsung. Salah satu caranya adalah dengan menggunakan dekomposisi LU. Pada metode ini suatu sistem persamaan linier yang berbentuk:
difaktorisasi menjadi:
Pada dekomposisi LU metode Doolittle, semua komponen diagonal matriks L bernilai 1 sehingga representasi matriks di atas menjadi:
Untuk menghitung setiap komponen matriks L dan U dari matriks A dengan ukuran n x n dapat dengan menggunakan algoritma sebagai berikut:1. Dapatkan nilai matriks U pada baris pertama:
untuk i = 1 sampai n
2. Hitung nilai:
untuk i=2 sampai n 3. untuk i = 2 sampai n-1
untuk j = i + 1 sampai n
4. Hitung indeks terakhir:
Proses dekomposisi selesai sampai disini, proses berikutnya adalah untuk menyelesaikan sistem persamaan linier nya.
Dari dekomposisi berikut:
Matriks L dan U sudah kita dapatkan, dan dengan memisalkan:
maka
untuk mendapatkan nilai vektor y dapat dilakukan dengan substitusi maju sebagai berikut:
untuk i=2 sampai n
nilai vektor x didapatkan dengan melakukan substitusi mundur persamaan:
dengan cara:
untuk i=n-1 sampai 1



















Komentar
Posting Komentar